La Dictadura De Primo De Rivera
Como Comprar

La Dictadura De Primo De Rivera

La Dictadura De Primo De Rivera, Indeed recently has been hunted by consumers around us, perhaps one of you personally. People now are accustomed to using the internet in gadgets to view video and image information for inspiration, and according to the name of this article I will discuss about

If the posting of this site is beneficial to our suport by spreading article posts of this site to social media marketing accounts which you have such as for example Facebook, Instagram and others or can also bookmark this blog page.

Https Encrypted Tbn0 Gstatic Com Images Q Tbn 3aand9gcsvjisguipsb5qx1b9zstetclpvuwmdmmu9xfn1ks9ifzi9hd4t Usqp Cau Globber Primo Scooter

El Modelo Sindical De La Dictadura De Primo De Rivera Globber Primo Scooter

Primo De Rivera Y El Catalanismo Golpista Globber Primo Scooter

Dictature De Primo De Rivera 1923 Globber Primo Scooter

No Fue La Ii Republica La Dictadura De Primo De Rivera Estrena El Voto Femenino Verdades Ofenden Globber Primo Scooter

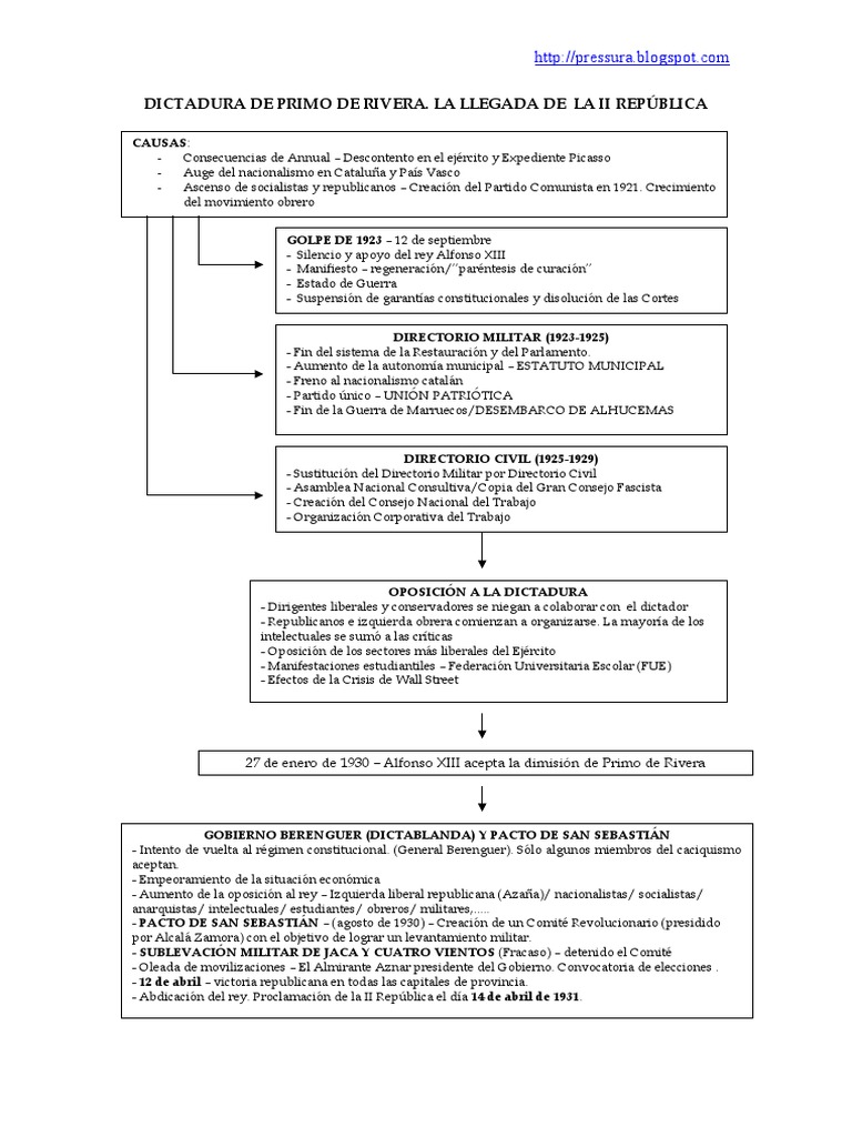
Esquema De Dictadura De Primo De Rivera Globber Primo Scooter

655 1155 3 el final de la dictadura y de l.

Globber primo scooter. La dictadura de primo de rivera. Anales de historia contemporanea murcia. La dictadura de primo de rivera forma parte de las llamadas dictaduras mediterraneas que siguen el ejemplo del fascismo italiano.

Solo ante la crisis primo de rivera dimite en enero de 1930 exiliandose a paris donde fallece en 1931. Vamos a ver lo que pueden hacer 9 hombres de buena voluntad en un plazo de unos tres meses trabajando intensamente 9 o 10 horas diarias. Gonzalez martinez carmen 2000.

Desde que ano hasta que ano esta la dictadura de primo de rivera. El rey alfonso xiii no se opuso al golpe y decidio nombrar al general sublevado jefe del gobierno al frente de un directorio militar. Una propuesta de analisis.

La dictadura de primo de rivera 13 de septiembre de 1923 fue posible por el triunfo del golpe de estado encabezado por el capitan general de cataluna miguel primo de rivera en barcelona. En el primer caso tras el desembarco de alhucemas facilitado por el acuerdo con francia se consigue la pacificacion. Guaita martorell aurelio 1986.

La dictadura de primo de rivera fue el regimen politico que hubo en espana desde el golpe de estado del capitan general de cataluna miguel primo de rivera el 13 de septiembre de 1923 hasta la dimision de este el 28 de enero de 1930 y su sustitucion por la dictablanda del general damaso berenguerha sido considerada como el primer ensayo de institucionalizacion consciente del. Reapareceran siempre coincidiendo con etapas de crisis como en la guerra de la independencia 18081814 la dictadura de primo de rivera 1923 1930 y la guerra civil de 1936 1939. Marruecos y el orden publico.

Primo de rivera henchido de un optimismo contra el pesimismo esceptico de los viejos politicos creia facil y hacedera la empresa. El mayor desastre militar fue el blankstartdesastre de annualblankend answer. Universidad de murcia 16.

La espana de primo de rivera. La dictadura de primo de rivera intenta atajar desde un primer momento los dos principales problemas. Empieza pues la dictadura en medio de un calido entusiasmo.

En cuanto al orden publico la protesta es reprimida y sin desaparecer del todo mitigada. 0000 655 2 desarrollo politico y cambios economicos.

La Dictadura De Primo De Rivera A Catalunya Sold Through Direct Sale 113819627 Globber Primo Scooter

Dictatorship Of Primo De Rivera Spain Second Spanish Republic Restoration Directoire Militaire Schooll Text Spain Restoration Png Pngwing Globber Primo Scooter

El Golpe De Estado De Miguel Primo De Rivera Globber Primo Scooter

Dictadura De Primo De Rivera Wikipedia La Enciclopedia Libre Globber Primo Scooter

More From Globber Primo Scooter